상온 상태에서 직접 메탄올 연료전지의 특성 연구

Hyo-jin Yun1, Jeong-ju Kim2, Dong-Jin Kim3*
1 Department of Information and Control Eng., Hoseo University 2 Department of Electronics Eng., Hoseo University 3 HUNIC, Hoseo University

Abstract

Present, a portable battery have problem that the volume increases according to capacity increase. Direct Methanol Fuel Cell is alternative by solution plan of this problem. In this paper, the characteristics of DMFC are analyzed by change in concentration and discharge of fuel in natural convection and room temperature condition. According to the analysis result, polarization by delay of diffusion velocity of hydrogen ion appeared in methanol of low concentration. And if have a lot of supplies of methanol, generation power declines by electric cell cooling effect. Key Words : DMFC, Ambient Temperature, Methanol Concentration
한국산학기술학회논문지 Vol. 10, No. 5, pp. 955-961, 2009

   윤효진 1 , 김정주 2 , 김동진 3* 1 호서대학교 정보제어공학과, 2 호서대학교 전자공학과, 3 호서대학교 중심대학사업단 The Study for Characteristic of Direct Methanol Fuel Cell in Ambient Temperature
요 약 현재 소형 휴대용 배터리의 용량 증가에 따라 배터리의 부피가 커지는 문제를 가지고 있다 . 이러한 문제를 해결하기 위해 직접 메탄올 연료전지가 대안으로 떠오르고 있다 . 본 논문에서는 직접 메탄올 연료전지를 상온 상태에 서 자연 대류 방식으로 공기를 공급하고 , 메탄올의 농도와 유량의 변화에 대한 특성을 분석하였다 . 분석 결과 저 농 도의 메탄올에서는 수소 이온의 확산 속도 지연에 따른 분극현상이 발생하였고 , 메탄올의 공급량이 높을수록 전지 Cell 의 냉각 효과가 발생하여 출력이 감소한다 .1. 서론 바로 전환하여 친환경적이며, 발전 효율이 높아 에너지 절감효과가 매우 우수하다. 에너지 고갈, 환경 문제 등이 전 세계적인 이슈가 되면 또한 수소, 천연가스, 에탄올, 메탄올 등을 연료로 이 서 화석 연료의 대안으로 연료전지의 중요성이 강조되고 용할 수 있어, 차세대 대체 에너지 기술로 기대가 된다 있다[1]. 정부에서도 연료전지가 자동차 산업의 환경규제 [3]. 극복 등 연관 산업의 경쟁력 확보와 대체에너지에 대한 직접 메탄올 연료전지는 다양한 용도로 사용이 가능하 미래 투자로서 전략적 의미가 있다고 판단하고 연료전지 다 특히, 1W 정도의 소형 배터리 대체용 전원이나 500W 를 차세대 성장 동력 산업으로 지정하여 적극적으로 육 이하의 휴대용 전원으로 사용 가능성이 매우 높고, 상당 성하고 있다[2]. 한 성능 향상이 이루어진다면 자동차용 엔진으로도 사용 연료전지 기술은 수소의 화학에너지를 전기에너지로 이 가능할 것이다[4]. 현재 소형 휴대용 배터리의 크기가 이 논문은 2008년 호서대학교의 재원으로 학술연구비 지원을 받아 수행된 연구임 (20080104) * 교신저자 : 김동진() 점수일 09년 03월 19일 수정일 09년 05월 15일 게재확정일 09년 05월 27일 955
   한국산학기술학회논문지 제10권 제5호, 2009 커짐으로써 전체 부피가 커져야 하는 문제점이 있다.[2] 이 때 생성된 수소 이온은 고분자 전해질 막을 통해 이러한 문제점을 해결할 수 있는 방안으로서 직접 메탄 공기극으로 이동하고 생성된 전자는 전류 집전체로 이동 올 연료전지가 대안으로 떠오르고 있다[1]. 한다. 공기극에서는 연료극에서 이동한 수소이온과 전자 직접 메탄올 연료전지가 휴대용 전원으로 사용되기 위 및 반응물인 산소와의 환원반응에 의해 물이 생성된다. 해서는 단위전지의 성능 향상뿐만 아니라 단위전지의 적 반응식은 다음 식(1) ∼ (3)과 같다. 층형인 스택 기술의 개발, 연료전지 운전 장치 기술의 개 발 등이 필요로 한다[5]. 그러나 현재 연구동향들을 살펴          →         (1) 보면 연료전지의 전극, 촉매, 전해질 막, 분리판 등 주로       단위전지에 관련한 연구가 주를 이루고 있으나, 연료전지           →    (2) 운전 장치에 관해서는 연구가 수행되고 있지 않는 실정       이다[6]. 또한 기존의 실험들은 스택의 온도를 일정하게          →       (3) 유지시킨 상태에서 수행되어 온도조절 장치가 없는 휴대      용 전원장치로 사용이 힘들다. 전지에서 얻을 수 있는 최고의 이론 전압은 1.18V이 본 논문에서는 실제 휴대용 전원의 조건과 동일하게 다. 하지만 실제 개회로 전압(Open circuit voltage, OCV) 상온 상태에서 최고의 성능을 얻을 수 있는 최적의 운전 은 0.7V 안팎에 불과하다. 이것은 전극 반응의 과전압이 조건을 분석 하였다. 매우 크다는 것을 뜻하며, 고분자 전해질 연료전지의 개 회로 전압이 1V에 가깝다는 점을 고려해 보면 더욱 더 그렇다. 실제 개회로 전압의 감소는 부반응으로 생성된 2. 직접 메탄올 연료전지 포름알데히드, 포름산 등의 반응, 촉매의 피독에 의한 과 직접 메탄올 연료전지는 일반적으로 고분자 전해질 막 전압, 과산화물에 의해 생성된 산소 환원 반응의 혼합 가 을 중심으로 전극인 연료극과 공기극이 붙어 있는 전해 역 전위로 인한 과전압, 메탄올 투과에 의한 공기극의 전 질 막-전극 접합체(membrane and electrode assembly, 위 감소 등에 의해 일어난다. MEA)와 양극판(end plate)으로 구성되어 있다. 연료극과 이론적 개회로 전압은 식에 의하여 전지의 온도와 분 공기극의 전극은 반응물의 확산과 생성된 전자의 집전 압이 상승함에 따라 감소되나 실제 반응에서는 전극 촉 역할을 하는 탄소소재의 지지체와 전기화학적 반응을 위 매의 활성 증가와 메탄올 투과의 감소에 의하여 증가된다. 한 촉매층으로 이루어져 있다. 양극판은 manifold에서 전 극으로 반응물을 공급할 수 있는 유료가 형성되어 있고 전극에서 생성된 전자의 운반을 담당한다[7]. 3. 직접 메탄올 연료전지 시스템 구성 그림 1은 직접 메탄올 연료전지 단위 전지 구성도이 본 논문에서는 직접 메탄올 연료전지 평가 시스템을 다. 직접메탄올 연료전지의 전기화학반응은 전해질 막-전 구성하여 상온 상태에서의 특성을 분석하였다. 특성분석 극 접합체의 촉매층에서 이루어진다. 연료극에서 반응물 을 위해 대만의 Antig사의 4-cell 직접 메탄올 연료전지 인 메탄올 용액은 전극 내 촉매층에서 산화반응을 통해 스택을 사용하였다. 사용된 직접 메탄올 연료전지 스택의 수소이온과 전자 및 이산화탄소를 생성한다. 사양을 표 1에 나타내었다.
[그림 1] 직접 메탄올 연료전지 단위 전지 구성도[표 1] 연료전지 스택의 사양 Property Cell 4 Excluding Golden Finger Dimension 110(L)mm×55(H)mm×7(W)mm Weight 64 ~ 68g ■2.4~3.2V(OCV) Output Voltage ■1.2~1.8V(Operation Range) Output Current 0.2A~1.4A Operation Temperature 0°C~70°C Fuel Usage Range 3v%~10v% methanol solution Moduele Resistance ≦300m Ω 956
   상온 상태에서 직접 메탄올 연료전지의 특성 연구 그림 2는 스택의 외형 사진이다. 순수한 물과 메탄올 MFC(mass flow controller)와 Micro Fan Motor를 이용하 로 혼합된 연료는 펌프를 통하여 직접 스택 내부로 공급 였으며 그 외에 셀 표면 온도 측정을 위한 RTD(온도센 되며 스택내부의 내부 매니폴드에 연료가 채워지면 4개 서), 연료극에서 나온 메탄올을 회수하기 위해 Disposal 의 셀에 함께 연료가 공급되어 출구 쪽의 매니폴드에 연 Bag을 포함하였다. 료가 모아져 스택의 외부로 배출되어지는 방식이다. 공기 극의 경우는 셀이 외부에 노출 되어져 있어서 기체와 직 접 맞닿는 구조로 되어있다. 4. 실험 및 분석

   0.5M - 2.5M까지를 1.5ml/min - 2.5ml/min의
본 논문에서는 직접 메탄올 연료전지 스택에 연료의 농도와 연료 공급 유량의 변화에 따른 특성을 분석하였 다. 메탄올 농도는 조절하여 농도에 따른 특성을 분석하고, 분석 결과에 따라 가장 좋은 특성 을 보이는 농도의 연료를 정량 펌프를 이용하여 연료 공급 유량을 변화하여 특 성을 분석하였다. 또한 상온 상태에서의 분석을 위해 스택에 공급되는 공기의 유량은 조절하지 않고 자연대류방식을 사용하였 다.
   [그림 2] DMFC Stack 3은 DMFC

   4는
4.1 메탄올 농도에 따른 분석 그림 평가시스템 구성도이다. 직접 메탄올 그림 실험을 위해 구성한 자연대류방식의 평가 시 연료전지 발전시스템의 최적화를 위해서는 연료전지 스 스템을 보여준다. 택과 같은 핵심 부품의 성능 개선은 물론 주변 시스템의 최적화 및 종합화 기술이 필요하다.
   각각 0.5M, 1M, 1.5M, 2M, 2.5M을 1ml/min
직접 메탄올 연료전지 발전시스템의 주요 설비로는 연 료전지 스택을 비롯하여, 연료 공급 장치, 공기 공급 장 [그림 4] 자연대류방식의 연료전지 평가시스템 구성 치, 시스템 제어 설비 및 전력 변화 장치 등이 포함될 수 있다[4]. 따라서 평가 시스템을 다음과 같이 구성하였다. 자연대류 방식을 이용하여 메탄올 농도를 연료 공급 장치로는 연료극에 다양하고 정확한 연료공급 만들고, 연료 공급량을 을 위해서 정량펌프를 사용하여 연료를 공급하고 공기 으로 고정하여 연료전지의 출력을 분석하였다. 분석 결과 공급 장치로 공기극에 공기를 공급하기 위해서957
   한국산학기술학회논문지 제10권 제5호, 2009
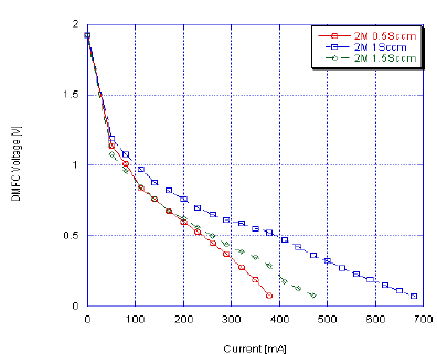
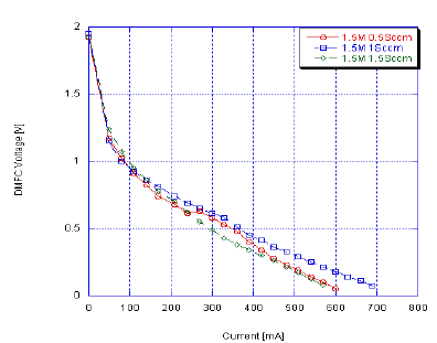
는 그림 5에 나타내었다. 4.2 메탄올 연료 공급 유량에 따른 분석 실험 결과에 의하면 메탄올의 농도가 0.5M과 1M을 메탄올의 농도에 따른 특성 분석을 통해 1.5M - 2.5M 제외한 나머지 농도에서 거의 비슷한 전압-전류 특성 값 일 경우에 좋은 운전 특성을 나타내었다. 따라서 연료의 이 나타났다. 공급 유량에 따른 특성을 분석하기 위해 연료 공급 유량 0.5M의 경우는 전류의 상승에 따른 수소이온의 농도 을 각각 0.5ml/min, 1ml/min, 1.5ml/min로 변화시켜 실험 감소로 인하여 약100mA의 출력전류 까지는 1M 이상의 을 하였다. 연료와 유사한 전압-전류 특성을 보였으나 이후부터는 그림 6은 메탄올의 농도 1.5M일 때 연료 공급 유량을 급격히 전압이 감소하는 경향을 보이고 있다. 이는 수소 변화하여 얻은 특성을 보여준다. 그래프에서 보여주는 것 이온의 확산속도 지연에 따른 농도분극에 기인한 현상으 과 같이 동일한 메탄올 농도에서 연료 공급 유량이 많을 로 보여 진다. 수록 좋은 특성을 보여주고 있다. 또한 2M을 전후하여 농도가 더 증가하더라도 연료전 지의 전력이 떨어지는 것을 볼 수가 있다. 2.5M 용액에서 는 한계전류는 발생하지는 않지만 상대적으로 메탄올 크 로스오버가 발생한다. 이로 인하여 공기극에서 형성되는 전위의 손실이 커지고 따라서 전체 연료전지의 출력의 감소를 야기한다. 이러한 메탄올의 크로스오버는 메탄올 의 농도가 높아질수록 심화된다.
   a) 전류 - 전압 특성

   a)

   b) 전류 - 전력 특성 [그림 6] 메탄올 1.5M 일 때 연료 공급 유량에 따른 특성

   b) 전류-전력 특성 [그림 5] 메탄올 농도에 따른 특성 (0.5M - 2.5M)
그림 7은 메탄올 농도 2M일 때 연료 공급 유량에 따 른 특성을 나타낸다. 그래프에서 보이는 것과 같이 2M 농도에서도 연료의 공급량이 많을수록 스택에 충분한 연 료를 공급 할 수 있어 우수한 결과를 나타내고 있음을 알 수 있다. 958상온 상태에서 직접 메탄올 연료전지의 특성 연구
   a) 전류 - 전압 특성

   a) 전류 - 전압 특성

   a) 전류 - 전력 특성
[그림 8] 메탄올 2.5M 일 때 연료 공급 유량에 따른 특성
   b) 전류 - 전력 특성 [그림 7] 메탄올 농도 2M 일 때 연료 공급 유량에 따른 특성 5. 결과 및 고찰 그림 8은 메탄올 농도 2.5M일 때 연료 공급유량을 조 본 논문에서는 직접 메탄올 연료전지의 특성을 분석하 절하여 특성을 분석하였다. 분석 결과 그림 6과 그림 7에 기 위해 메탄올의 농도 별, 연료 공급 유량 별 특성을 분 서 보여준 특성과는 차이를 보인다. 메탄올 농도 1.5M과 석하였다. 그림 9에 가장 좋은 농도 및 유량에 대한 특성 2M에서의 특성에서는 연료공급 유량이 많을수록 좋은 을 나타내었다. 결과를 얻을 수 있었으나, 메탄올 2.5M의 경우에 있어서 실험 결과에 따르면 메탄올 농도 1.5M, 2M에서는 는 적은 유량에서 좋은 특성을 얻을 수 있다. 이러한 현 1ml/min에서 가장 좋은 실험값이 나왔고 2.5M에서는 상은 메탄올 2.5M에서 연료의 유량이 많아지면 공급 속 0.5ml/min에서 가장 좋은 실험값이 나왔다. 연료의 농도 도도 빨라지며, 이때 각 단위전지 내부의 반응 온도를 저 가 높을수록 연료공급량이 적을 때 더 좋은 결과를 나온 하하는 일종의 냉각효과가 일어나서 출력의 저하를 일으 다는 것을 알 수가 있었다. 이는 연료의 농도가 높아지면 키게 된다. 더 많은 양의 메탄올이 연료에 포함되어있어서 적은 공 급량으로도 충분한 출력이 나오게 되는 것을 알 수 있었 다. 959

   한국산학기술학회논문지 제10권 제5호, 2009
가능하고 연료교체가 편리하여 이동형 전원으로 많이 개 발되고 있다. 본 연구에서는 휴대용 기기의 전원 구동을 목적으로 외부 온도조절 장치, 가습장치가 없는 상온 상태에서 연 료전지의 한 종류인 직접 메탄올 연료전지의 평가시스템 을 구성하여 상온 상태에서 연료의 농도, 공급 유량에 따 른 출력 특성을 알아보았다. 실험결과를 요약 하면 다음 과 같다.
   a) 전류 - 전압 특성
(1) 메탄올의 농도가 0.5M의 경우는 전류의 상승에 따 른 수소이온의 농도 감소로 인하여 약100mA의 출 력전류 까지는 1M 이상의 연료와 유사한 전압-전 류 특성을 보였으나 이후부터는 수소이온의 확산 속도 지연에 따른 농도분극으로 감소하였다. 또한 2M을 전 ‧ 후하여 농도가 더 증가하더라도 연료전 지의 출력이 크로스오버 현상으로 인해 떨어지는 것을 알 수 있었다. 따라서 실험결과에 서는 2M의 메탄올에서 가장 좋은 결과를 보였다. (2) 연료의 공급량은 1ml/min에서 가장 높은 출력을 보였고 1ml/min이상 일 때는 연료의 공급량이 빨 라져 단위전지 내부의 반응 온도를 내리는 냉각효 과가 발생하여 출력 저하를 일으켰다.
   a)

   -
향후, 직접 메탄올 연료전지를 완전히 상용화를 위해 서는 전해질 막, MEA, 패키징, 연료 조절 및 공기 유입 등의 관련된 기술이 향상 되어야 하며, 이를 위해 많은 연구가 필요하다.
   [그림 9] 메탄올 농도별 , 공급 유량별 최적 운전 조건 분석 참고문헌 그러나 1.5M과 2M에 연료공급량 0.5ml/min의 경우에 시간이 경과할수록 출력이 급격히 감소하는 현상이 발생 [1] 조만, “직접메탄올 연료전지 기술개발 동향”, KISTI 하였다. 이러한 현상은 초기에 스택 내부에 잔존하는 메 기술동향 분석 보고서, 2003. 탄올이 공급 연료의 역할을 함으로써 겉보기 출력이 증 [2] 정우석, “휴대용연료전지”, 미래선도기술이슈분석보 가한 것으로 보인다. 실험 결과에서 나타난 것과 같이 충 고서, 2005. [3] 남석우, “연료전지 기술동향” 원자력과 수소 심포지 분한 농도를 갖추지 못한 체 연료의 공급량이 너무 적으 움, 2003. 면 시간이 경과할수록 출력이 급격히 저하됨을 알 수 있다. [4] 백동현, “직접메탄올 연료전지 시스템의 응용과 연 구개발”, 설비저널, 2005. [5] 산업자원부 “휴대용 50W급 DMFC 시스템 개발 연 6. 결론 구”, 2007. [6] 김서영, “PEM 연료전지의 운저장치(BOP)”,설비저 직접메탄올 연료전지는 액체인 메탄올을 연료로 직접 널, 2005. 사용하기 때문에 수소를 연료로 사용하는 연료전지와 다 [7] 산업자원부, “100W급 직접메탄올 연료전지 개발에 른 점들이 많다. 즉, 시스템의 작동이 간단하여 소형화가 관한 연구”, 2004. 960
상온 상태에서 직접 메탄올 연료전지의 특성 연구윤 효 진 (Hyo-Jin Yun)
   [준회원] • 2007년 2월 : 호서대학교 정보제 어공학과 (공학사) • 2009년 2월 : 호서대학교 대학원 정보제어공학과 (공학석사)

   <관심분야> 연료전지, 시스템 제어 응용 김 정 주 (Jeong-Ju Kim) [정회원]

   • 2008년 2월 : 호서대학교 대학원 전자공학과 (공학석사) • 2009년 3월 ~ 현재 : 호서대학 교 대학원 전자공학과 박사과정 • 2008년 4월 ~ 현재 : 조일 HCI 대표

   <관심분야> 유비쿼터스, HCI, 신∙재생에너지 김 동 진 (Dong-Jin Kim) [종신회원]

   • 2000년 8월 : 호서대학교 대학원 전자공학과 (공학석사) • 2007년 2월 : 호서대학교 대학원 전자공학과 (공학박사) 2000년 1월 ~ 2004년 6월 : (주)

   2005년 1월 ~ 2007년 2월 : (주)
• 제니스테크 기술연구소 선임연 구원 • 테크라인 세정기술연구소 책임 연구원 현재 호서대학교 교수
   • 2007년 3월 ~ : <관심분야> 유비쿼터스, 스마트 인터페이스, 센서응용, 제어 시스템 응용, 신∙재생에너지 961

Loading...